Treasury Board of Canada Secretariat
Symbol of the Government of Canada

ARCHIVED - RPP 2006-2007
Office of the Auditor General of Canada


Warning This page has been archived.

Archived Content

Information identified as archived on the Web is for reference, research or recordkeeping purposes. It has not been altered or updated after the date of archiving. Web pages that are archived on the Web are not subject to the Government of Canada Web Standards. As per the Communications Policy of the Government of Canada, you can request alternate formats on the "Contact Us" page.


Section III—Supplementary information

Organizational information


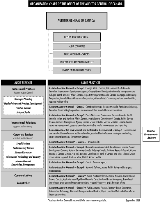
Organization Chart of the Office of the Auditor General of Canada


Tables


Table 1: Planned spending and full-time equivalents ($ millions)

 

Forecast spending
2005–06

Planned spending
2006–07

Planned spending
2007–08

Planned spending
2008–09

Legislative auditing

 

 

 

 

Total Main Estimates

71.8

73.8

73.8

73.8

Adjustments

 

 

 

 

Governor General Special Warrants:

 

 

 

 

Operating budget carry forward

3.1

 

 

 

Economic salary increases

4.2

 

 

 

Total adjustments

7.3

 

 

 

Total planned spending

79.1

73.8

73.8

73.8

Less: Non-respendable revenue

(1.0)

(0.5)

(0.3)

(0.3)

Plus: Cost of services received without charge

9.9

10.2

10.2

10.0

Less: Forecasted lapse

(2.8)

 

 

 

Net cost of program

85.2

83.5

83.7

83.5

 

 

 

 

 

Full-time equivalents

578

595

595

595


Table 2: Program activity for 2006–07 ($ millions)

Program activity

Operating

Grants and
contributions

Net

Total
Main Estimates

Total planned spending

Legislative auditing

Total

73.4

0.4

73.8

73.8

73.8


Table 3: Voted and statutory items in Main Estimates for 2006–07 ($ thousands)

Voted or statutory item

Office of the Auditor General

Current
Main Estimates

Previous
Main Estimates

20

Program expenditures

64,920

62,957

(S)

Contributions to employee benefit plans

8,828

8,844

 

Total

73,748

71,801

(S) Statutory


Table 4: Services received without charge in 2006–07 ($ millions)

Accommodation provided by Public Works and Government Services Canada

6.7

Contributions for employer's share of employees' insurance premiums and expenditures paid by the Treasury Board Secretariat

3.5

Total

10.2


Table 5: Sources of respendable1 and non-respendable revenue ($ millions)

Non-respendable revenue

Forecast revenue
2005–06

Planned revenue
2006–07

Planned revenue
2007–08

Planned revenue
2008–09

Legislative auditing

 

 

 

 

Charges (cost recovery) for audits 2

1.0

0.5

0.3

0.3

Total

1.0

0.5

0.3

0.3

1 The Office of the Auditor General has no respendable revenue.

2 The Office recovers the cost for the audits of the International Civil Aviation Organization and the United Nations Educational, Scientific and Cultural Organization. These funds are not used by the Office but are returned to the Consolidated Revenue Fund as non-respendable revenue.


Table 6: Long-term internal audit plan

 

2006–07

Beyond

Professional Practices Group

 

 

  • Stewardship Reporting (includes other groups)

 

X

Human Resources Group

 

 

  • Training and Development

 

X

  • Staffing/Recruitment

X

 

Comptroller's Group

 

 

  • Internal Controls Management

 

 

  • Compliance with Treasury Board Secretariat policies:

 

 

  • Professional Contracts

X

 

  • Travel

 

X

  • Relocation

 

X

  • Procurement

 

X

  • Facilities Management

 

X

  • Resources and Process Management

 

X

  • Salary Management

 

X

  • Resource Allocation

 

X

  • Funding

 

X

  • General Accounting

 

X

  • Audit of Comptrollership Self-Assessment Action Plan

 

X

  • Executive and Management Reporting

 

X

Knowledge Management Group

 

 

  • Management of Function

 

X

  • Management of Government Information

X

 

  • Knowledge Transfer

 

X

Information Technology Group

 

 

  • Management of Function

 

X

Security (Departmental Security Officer)

 

X

Communications

 

 

  • External

 

 

  • Translation/Edit

 

X

  • Printing and Publication Services

 

X

  • Telecommunication

 

X


Web site references

Many items that are of interest but not critical to reporting our performance are available at the following Web sites.


Office of the Auditor General of Canada

Office of the Auditor General

www.oag-bvg.gc.ca

Sheila Fraser, Auditor General of Canada

www.oag-bvg.gc.ca/domino/other.nsf/html/00agbio-eng.html

Commissioner of the Environment and Sustainable Development

www.oag-bvg.gc.ca/domino/cesd_cedd.nsf/html/menu8-eng.html

Auditor General Act

laws.justice.gc.ca/en/A-17/index.html

Financial Administration Act

laws.justice.gc.ca/en/F-11/index.html

Reports to Parliament

www.oag-bvg.gc.ca/domino/other.nsf/html/99repm-eng.html

Observations of the Auditor General on the Financial Statements of the Government of Canada

www.oag-bvg.gc.ca/domino/other.nsf/html/99pac-eng.html

Publications

www.oag-bvg.gc.ca/domino/other.nsf/html/99menu5e.html

Practice review and internal audit reports

www.oag-bvg.gc.ca/domino/other.nsf/html/02int-eng.html

External review reports

www.oag-bvg.gc.ca/domino/other.nsf/html/00qms-eng.html

Sustainable Development Strategy, 2003–06

www.oag-bvg.gc.ca/domino/other.nsf/html/200402sdse.html

Comptrollership Capacity Assessment and Action Plan

www.oag-bvg.gc.ca/domino/other.nsf/html/200403ccap-eng.html

Government of Canada

Parliament

www.parl.gc.ca

Standing Committee on Public Accounts

www.parl.gc.ca

Standing Committee on Environment and Sustainable Development

www.parl.gc.ca

Standing Senate Committee on National Finance

www.parl.gc.ca

Treasury Board of Canada Secretariat

www.tbs-sct.gc.ca

Results for Canadians: A Management Framework for the Government of Canada

www.tbs-sct.gc.ca/res_can/rc-eng.html

Results-Based Management and Accountability Framework of the Modern Comptrollership Initiative

www.tbs-sct.gc.ca/cmo_mfc/resources2/RMAF/RMAF02-eng.asp

Treasury Board Secretariat Management Accountability Framework

www.tbs-sct.gc.ca/maf-crg/index-eng.asp

Financial Information Strategy

www.tbs-sct.gc.ca/fin/sigs/FIS-SIF/FIS-SIF-eng.asp

Canadian International Development Agency

www.acdi-cida.gc.ca/index.htm

Professional organizations

Canadian Council of Legislative Auditors

www.ccola.ca/index_english.cfm

Canadian Evaluation Society

www.evaluationcanada.ca

Canadian Institute of Chartered Accountants

www.cica.ca/index.cfm/ci_id/17150/la_id/1.htm

CCAF-FCVI Inc.

www.ccaf-fcvi.com/entrance.html

Environmental Working Group (INTOSAI)

www.environmental-auditing.org

Financial Management Institute

www.fmi.ca

Institute of Internal Auditors

www.theiia.org

International Federation of Accountants

www.ifac.org

International Organization of Supreme Audit Institutions (INTOSAI)

www.intosai.org

United Nations Panel of External Auditors

www.unsystem.org/auditors/external.htm